As a startup founder, every day, you make decisions that can significantly impact your company's financial future. One such critical decision revolves around Employee Stock Options (ESOs), which is a popular method used by startups to attract and retain the best employees.

While stock options can be a powerful tool, they come with their own set of complexities. One term that you will frequently encounter in this context is the 'strike price'. It's a term that carries significant weight, and understanding it holds the key to unlocking the full potential of your stock options. 

This blog explores the crucial aspects of the strike price, including its importance, calculation, the role of 409A valuation, and more. Read on! 

What is a strike price?

The strike price, also known as the exercise price or grant price, is defined as the fixed price at which an individual can purchase a company's shares under a stock option agreement. This specified price is set at the time the stock options are granted and remains unchanged throughout the life of the options.

Now, as a startup founder, you must understand that your employees' stock options give them the right to buy a certain number of shares of your company at this predetermined price. While the strike price remains constant, the Fair Market Value (FMV) of your company's shares typically fluctuates over time.

The opportunity for your employees to profit from their stock options arises when they can sell their exercised shares at a price higher than the strike price. This difference between the FMV and the strike price is where the potential for financial gain lies for your employees.

Example of strike price

Let's illustrate the concept of a strike price with an example. Suppose a call option for a stock is trading at $100 per share. The call option has a strike price of $110. This means that the holder of the option has the right, but not the obligation, to buy the stock at $110 per share on or before the contract expiration day. 

If the stock's price goes beyond $110, the person holding the option can use their right to buy the stock at the set price of $110 and then sell it at the increased market price, thus earning a profit. But, if the stock's price doesn't hit $110 before the option's expiration date, the call option will become valueless.

Factors influencing the strike price

The following three key factors play a significant role in determining the value of a stock option's strike price:

  • Volatility: This is a pivotal factor that influences an option's value, as it can cause substantial movements in an option's price. Higher market volatility indicates a greater likelihood of rapid changes in the option's price.
  • Liquidity: Given the high volume of options traded in the derivatives market, the liquidity of the underlying asset is a crucial factor when determining the stock options strike price. Greater liquidity implies that the options are more likely to settle in the market at their fair value. On the other hand, options with low liquidity may be compelled to settle for less than their fair value.
  • Risk: The risk associated with the action is another important consideration when setting the stock options strike price. This element can significantly impact the value of a strike price. For instance, if a stock carries a significant risk, the option's strike price will be set higher. Conversely, if the risk is low and the market is stable, the strike price will be lower.

Strike price and moneyness: Understanding the concept

Moneyness is classified into three categories based on the relationship between the strike price and the current trading price of the underlying asset. These categories are as follows:

1. In-The-Money (ITM): An option is considered ITM if the current price of the stock has already surpassed the strike price.

  • In the case of a call option, this implies that the strike price is less than the present stock price. It possesses an intrinsic value, which is the gap between the strike price and the existing market price. This means that ITM call options have a higher premium than out-of-the-money (OTM) options in the same contract series (chain).
  • A put option's strike price is higher than the current stock price. It also has intrinsic value, allowing ITM put options to have a higher premium than OTM puts.

2. Out-of-the-Money (OTM): An option is considered OTM if the current stock price has not yet reached the strike price.

  • For a call option, this means the strike price is more than the present price of the stock. Since it cannot be exercised for a profit immediately, OTM call options do not have intrinsic value and, therefore, have a lower premium than ITM options.
  • In the case of a put option, the strike price is below the current stock price. Similar to OTM call options, OTM put options lack intrinsic value and have a lower premium.

3. At-The-Money (ATM): An option is deemed to be ATM if the strike price equals the current market price of the underlying asset. ATM options may have a small amount of intrinsic value, but the premium is primarily based on time value.

Why is strike price important?

The strike price has an important role in shaping the dynamics of an options contract and influences decisions about whether exercising the option is profitable. This, in turn, determines the overall profitability of the contract.

  • Direct Impact on Cost and Potential Profit: The strike price directly influences the cost and potential profit of an options contract. For call options, a higher strike price often results in a lower premium paid for the option but also a lower potential profit if exercised. On the flip side, for put options, a higher strike price typically results in a higher premium for the option, but it also permits you to sell the underlying asset at a higher price if exercised.
  • Influence on Decision to Exercise Option: The strike price also affects an investor's decision to exercise the option. An investor with a more cautious approach might choose a call option strike price that is at or below the stock price, as this increases the likelihood of profitability upon exercise. However, a trader who is more comfortable with risk may opt for a strike price that is above the stock price (an out-of-the-money call), as this could lead to a significantly larger percentage gain if the stock price rises beyond the strike price. However, such options have a significantly smaller chance of success than in-the-money calls.
  • Risks and Rewards Associated with Different Strike Prices: There are risks and rewards associated with different strike prices. Picking the wrong strike price may result in losses, and this additional risk increases the further the strike price is set out of the money. It is important to remember that the profitability of the contract is determined by the difference between the option price paid (premium) and the profit made when exercising the option (minus any exercise fees).

How to calculate the strike price?

Calculating the strike price of an option involves a complex mathematical model known as the Black-Scholes model. It's a mathematical equation that computes the theoretical fair value of an option price using five variable inputs. These variables include:

  • Stock Price: The prevailing price of the underlying stock.
  • Strike Price: The value at which the option holder has the right to buy or sell the underlying asset.
  • Time Until Expiration: The remaining duration before an option expires.
  • Risk-Free Interest Rate: The current risk-free interest rate.
  • Volatility: The measure of a security's price change.

How are these factors taken into account?

Each factor in the formula influences the calculation of the strike price:

  • A higher underlying asset price or increased volatility can lead to a higher strike price.
  • The time remaining until the option's expiration can also affect the strike price. Options with longer expiration times may have higher strike prices due to the increased risk.
  • A higher risk-free interest rate boosts the value of the call option as it reduces the present value of the exercise price.
  • The volatility of the underlying asset can influence the strike price. Assets with higher volatility often have higher strike prices due to the increased risk.

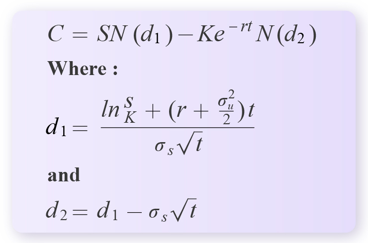
Let's walk through a detailed example of calculating the strike price using the Black-Scholes model. The formula for this calculation is:

Formula for the  Black Scholes Model

Here:

  • C is the theoretical call premium
  • S is the current price of the underlying stock
  • X is the strike price
  • t is the amount of time until expiration
  • r is the risk-free interest rate
  • q is the annual dividend yield
  • N is a standard normal cumulative distribution function

Suppose you have an option with a current stock price (S) of $60, a strike price (X) of $55, 45 days until expiration (t), a risk-free interest rate (r) of 2%, and implied volatility (σ) of 25%.

Therefore, based on the Black-Scholes model and the provided information, the theoretical option price (or fair value) for this call option is approximately $5.54. This represents the premium an option buyer would pay to the option seller.

Remember, the Black-Scholes model is a theoretical model. In practice, market prices can and do deviate from this theoretical price due to various factors like demand and supply imbalances, transaction costs, and market sentiment. Therefore, while the model provides a useful framework for understanding option pricing, it should not be relied upon as the sole determinant of an option's fair value.

The role of 409A valuation in determining strike price

A 409A valuation is a formal appraisal of your company's common stock performed by an independent third-party valuer. This valuation plays an important part in determining the strike price of your options.

The main goal of a 409A valuation is to determine the FMV of the common stock. The FMV is the price that your stock would command on the open market if such a market for the stock were to exist. Most startups determine the strike price of their stock options based on the FMV of their shares.

The strike price is the fixed cost that your employees will pay per share to exercise their stock options and own them. While the strike price always remains the same, the FMV of your company's shares typically fluctuates over time. Your employees profit from this form of equity when they are able to sell their exercised shares for more than the strike price.

The strike price and the FMV play pivotal roles in the pricing of stock options. The difference between the FMV and the strike price is referred to as 'the spread', which represents the underlying value of the options. When the spread is positive, the options are considered 'in the money'. 

What is strike price vs spot price?

Understanding the difference between the strike price and the spot price is crucial in options trading:

  • Definition: The strike price is the set price at which an option holder can buy (in case of a call option) or sell (for a put option) the underlying security. Conversely, the spot price is the current market price of the underlying asset.
  • Time of Relevance: The strike price is fixed and remains the same throughout the life of the option contract. In contrast, the spot price is dynamic and changes constantly with the market.
  • Role in Options Trading: The strike price is a key element in options trading as it determines whether an option is in-the-money (ITM), out-of-the-money (OTM), or at-the-money (ATM). The spot price, however, is used to determine the intrinsic value of the option and influences the premium or price of the option.
  • Impact on Profitability: The profitability of an option contract is calculated by the difference between the strike price and the spot price at the time of exercising the option. If the spot price surpasses the strike price for a call option (or is lower for a put option), the option is deemed in-the-money (ITM) and can be exercised for profit.
Difference between strike price and spot price

Relationship between strike price, Employee Stock Options, and 409A valuation

When it comes to Employee Stock Options (ESOs), the strike price plays a pivotal role. The strike price of ESOs is typically set at the FMV of the company's shares at the time the options are granted. This is where a 409A valuation comes into play, serving as a critical tool for startups to determine the FMV of their common stock. According to IRS Section 409A, private companies (like startups) must determine the strike price of their ESOs based on the FMV of their common stock, as determined by a 409A valuation. This valuation must be performed at least once every 12 months.

Setting the strike price at the 409A valuation ensures that ESOs are compliant with IRS regulations. If the strike price is set lower than the FMV (as determined by a 409A valuation), the options could be considered deferred compensation under IRS rules. This could result in 'the spread' being subject to immediate taxation, along with a 20% additional tax and potential interest charges. This is why it is important for you to ensure that the strike price of your ESOs is at least equal to the FMV of the stock at the time of grant.

The 409A valuation also influences when employees can exercise their options. If the FMV significantly increases after the options are granted, employees might find it beneficial to exercise their options earlier. Despite having to pay taxes on 'the spread', this strategy can help lock in a lower strike price and potentially realize greater gains in the future.

Conclusion

As a startup founder, understanding different facets of strike price is crucial for making informed decisions when dealing with options. Remember, the strike price is more than just a number; it is a strategic tool in your startup's growth journey. However, navigating these complexities might seem daunting.

That's where we come in. At Qapita, we are rated as the #1 Equity Management Software by G2 and offer a platform for managing ownership, efficient equity workflow management, and a structured marketplace to offer liquidity to stakeholders. Our in-house equity management experts provide a one-stop solution to all your ESOP-related requirements.

At Qapita, we also offer comprehensive 409A valuation services. Our team of experts conducts a thorough analysis of your company's financials and market comparables to provide an accurate, IRS-compliant 409A valuation. This helps ensure your stock options are priced correctly and fairly.

Our platform is trusted by over 2,400+ companies and 300,000 employee-owners. With Qapita, you can ensure that your stock options reflect an accurate picture of your business, helping build trust with your employees.

Contact our experts to learn more.

About Author

Team Qapita
Try Qapita today!
Elevate your equity management with smarter solutions for growth and compliance.
Resources

Stay ahead of the curve

Offerings

Cap table is just the beginning

Solution ipsum dolor sit

Automate repetitive equity management tasks and free up your team to focus on growth and strategy.

Product ipsum dolor sit

Automate repetitive equity management tasks and free up your team to focus on growth and strategy.

Offering ipsum dolor sit

Automate repetitive equity management tasks and free up your team to focus on growth and strategy.

Stay connected with exclusive updates!

Thank you! Your submission has been received!
Oops! Something went wrong while submitting the form.